为了提升火力发电热效率,降低煤耗及CO2 排放,超超临界电站蒸汽温度和压力逐步提高,对耐热材料的服役性能提出了更高的要求[1]。随着我国623 ℃超超临界二次再热燃煤电站和世界首台630 ℃超超临界燃煤电站的相继投运和开工建设,700 ℃超超临界燃煤发电技术的研发工作也在国家能源局等部门的支持下有序开展,钢铁研究总院自主设计研发的C-HRA-3 合金经过工业化验证,已被证实其可用于700 ℃超超临界电站大口径厚壁管制造的耐热材料[2-3]。
考虑到C-HRA-3 镍基耐热合金的合金比高、纯净度要求严格的特点,其特种冶炼主要采用真空感应熔炼(Vacuum induction melting, VIM)+真空自耗(Vacuum arc remelting,VAR)双联工艺或VIM+电渣重熔(Electro-slag remelting, ESR)+VAR 三联工艺路线[2]。真空感应熔炼作为冶炼的第1 道工序,其过程中合金元素的窄成分稳定控制及杂质气体元素的高效去除成为了保障C-HRA-3 合金实现工程化应用的关键环节。真空感应熔炼因其具有可隔绝空气减少熔体污染、熔体上方压力及温度可精准控制、感应搅拌均匀性佳、去除气体和夹杂物效果好等优点,广泛用于超高强度钢、特种不锈钢、高温合金等高端特殊钢的生产冶炼过程[4-6]。
C-HRA-3 合金中氧和氮含量的上限分别为40×10-4%及100×10-4%,在镍基合金中氧、氮在基体中的溶解度很低,但C-HRA-3 合金中含有一定量的Al、Ti 等元素,用于与Ni 形成γ′(Ni3(Al, Ti))相保证材料的强度[2,7-8],而这类元素均属易于氧化和氮化的元素,合金中的氧氮元素一般会以非金属夹杂物的形态存在,它们常常是疲劳裂纹产生的源头及扩展通道,同时这些夹杂物会作为核心,导致凝固过程中晶粒缺陷的形成,这均会引起材料高温持久强度、韧性等性能的降低[2,9-10]。VIM 过程脱氧主要借助真空下的碳脱氧反应,一方面配入的碳粉或碳块直接与合金中的溶解氧发生反应,另一方面碳还原合金中的氧化物,减少夹杂物含量,二者产物均为CO气体,可迅速随炉气排至大气中[11-12]。VIM 过程中脱氮通常采用低速熔化,借助熔化期碳氧反应沸腾改善脱氮动力学条件,并在精炼期采用高温高真空度提高脱氮效率[13-15]。长期以来,国内外研究团队针对真空感应熔炼钢铁材料的脱氧脱氮过程做了大量研究,但由于镍基合金冶金热力学基础数据相对匮乏等问题,镍基合金材料的特种冶炼工艺也鲜有系统性研究,合金体系的差异也会影响冶炼工艺的精准优化。
因此,本文以C-HRA-3 镍基合金为实验对象,研究在特定的碳加入量、精炼期温度和真空度下真空脱氧和脱氮热力学与动力学规律,为高效纯净化真空感应熔炼C-HRA-3 耐热合金提供理论依据。
研究对象C-HRA-3 耐热合金的化学成分,见表1。冶炼选用高纯金属及合金作为原料,根据表1 中C-HRA-3 合金成分以及国内特冶企业采用真空感应炉冶炼镍基合金所用各类合金收得率情况,以20 kg 装炉量为例,计算得到各类合金料的加入量。冷态入炉原料包括10.90 kg 电解镍、4.53 kg 金属铬、2.40 kg 电解钴、1.78 kg 金属钼、0.13 kg 金属钨、0.009 8 kg 金属铌、0.020 kg 光电碳,熔炼合金化期入炉原料包括0.20 kg 金属铝、0.084 kg 金属钛、0.004 5 kg 硼铁合金(其中含硼约18.57%)。
表1 C-HRA-3耐热合金化学成分w/%
Tab.1 Chemical composition of C-HRA-3 heat resistant alloy
C Si Mn P S Cr Co Mo Fe 0.050~0.100 ≤0.050 ≤0.100 ≤0.012 ≤0.008 21.000~23.000 11.000~13.000 8.500~9.000 ≤0.100 Al Ti Cu B Nb W Zr N Ni 0.800~1.300 0.300~0.500 <0.010 0.003~0.005 ≤0.080 ≤1.000 ≤0.100 <0.010 Bal.
实验采用VIM-50 型真空感应炉进行合金熔炼,设备的公称容量为50 kg,炉内极限真空度为10-2Pa,最高工作温度可达1 800 ℃。熔炼坩埚选用内径为φ140 mm,内高为300 mm 的冷等静压成型MgO 坩埚。熔炼前检查炉体气密性,10 min 内两次冷态漏气率平均值为4.41 Pa/h,表明熔炼设备气密性良好。冷态装炉料依照下紧上松,高熔点金属在线圈中下部高温区等原则装入坩埚内,装料顺序为:金属铬块→光电碳→金属钨→金属铌→金属镍板→金属钴板→金属钼棒。炉料在1.1~7.3 Pa 的压力内加热升温直至全部熔化,随即降低电功率调整精炼开始温度,并通过双比色红外测温仪实时监测温度和调整功率的方式进行精炼保温,整个精炼期的平均温度为1 582±29 ℃,平均真空压力为2.7±0.4 Pa。坩埚内熔体温度稳定后取第一个样品,并以此时为0 时刻的1#样品,随后依次每间隔30 min 取1 次过程样品,分别标记为2#、3#、4#、5#。精炼期结束进入合金化期,通过旋转合金料盘依次将配好的铝粒、海绵钛及硼铁加入到高温熔体中,调整功率使熔体温度达到1 460 ℃,完成出钢浇注,并在真空条件下保持15 min 后破空。过程样品是利用炉盖上方通过插板阀与主熔炼室隔离开的独立真空取样系统完成取出的,取样器为莫来石材质。过程样品经机械加工得到φ5 mm×30 mm 圆棒和金属屑,采用红外吸收(Infrared absorption)法和电感耦合等离子体原子发射光谱(Inductively coupled plasma atomic emission spectrometry,ICP-AES)法检测样品中的碳、氮氧元素含量。
根据氧势图中元素与氧气反应的标准吉布斯自由能随温度的变化规律可知,在1 550 ℃的冶炼温度下,Al、Ti 等脱氧元素与氧的结合能力远高于C与氧的结合能力,但是当真空系统压力低于102 Pa时,C 的脱氧能力便超过了Al,而在本实验的冶炼真空条件下,碳的脱氧能力远高于其他脱氧元素。因此,在真空感应熔炼C-HRA-3 耐热合金的过程中,碳脱氧反应对于铸锭中氧含量的控制是关键。
本实验冶炼C-HRA-3 耐热合金时,碳按照成分上限质量分数0.1%进行配料加入,根据碳氧反应平衡热力学计算公式,可以获得特定温度和真空度条件下合金中碳与氧的平衡溶度积。在镍基合金液中,C-O 反应可表示为式(1)。
由道尔顿分压定律可知,混合气体的压强等于各气相组分的分压强之和。该定律在原则上只适用于理想气体混合物,不过对于低压下真实气体混合物也可以近似适用。因此,在本研究中假设CO 气体分压pCO 与炉内真空压力近似相等。根据文献[16],反应式的标准反应自由能ΔGθ(J/mol)为式(2),当冶炼温度T 和炉内压力p 下,反应吉布斯自由能ΔG(J/mol)可以表示为式(3):
式中,Q 为特定标准态下生成物与反应物的压力比或活度比;pCO 为炉内CO 气体的分压,Pa;pθ 为标准大气压;fC 和fO 分别为C 和O 的活度系数;[%C]和[%O]分别为C 和O 的质量百分数。
根据Wagner 模型,带入文献[16]中的镍基体系下合金元素活度相互作用系数
,见表2[16]。计算合金液中[C]和[O]的活度系数f[C]和f[O]分别为0.37 和2.14×10-3。当碳氧反应的反应吉布斯自由能ΔG 为0,带入理想气体常数R=8.314,可以得到冶炼温度T、真空压力p 与钢液中碳氧浓度积之间的关系式(4):
表2 1 600 ℃下合金元素的相互作用系数与
与
Tab.2 Interaction coefficients
and
of alloy elements at 1 600 ℃[16]
元素i 元素j ej i γj i O -0.004 Mo -0.024 Cr -0.231 0.009 Al -1.060 0.270 Co -0.004 C-21.600 111.800 C W W-0.006 Mo -0.004 Cr -0.024 Al -0.043 Co 0.008 O-0.340
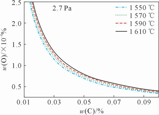
结合真空感应实验配碳量和冶炼精炼过程温度和压力的实际数据,分别选择冶炼温度为1 550、1 570、1 590、1 610 ℃(同一真空压力2.7 Pa) 和冶炼真空压力为1、2、3、4 Pa (同一冶炼温度1 582 ℃)的条件,通过式(4)可以计算出冶炼温度和真空压力对碳-氧平衡溶度积的影响规律如图1 和图2 所示,其中在1 582 ℃的精炼温度和2.7 Pa 的真空压力条件下,不同碳含量所对应的平衡氧含量见表3。由表3 中的数据可知,当C-HRA-3 合金中碳含量在表1所示的目标成分时,在1 582 ℃和2.7 Pa 的精炼冶炼条件下,合金液中平衡溶解氧含量为0.37×10-4%~0.75×10-4%。由图1 可知,在相同的真空压力下,随着精炼温度升高,平衡碳氧积也增大,但是增幅较小。由图2 可知,在相同的精炼温度下,随着真空压力的升高(即真空度的降低),在相同终点碳含量下,平衡氧含量显著提高。在1 582 ℃精炼温度下,当终点碳含量均为0.05%时,真空压力(在1~4 Pa 内)每增加1 Pa,平衡氧含量将增大约0.14×10-4%。综合图1 和图2 中的结果发现,真空感应熔炼C-HRA-3 耐热合金过程中真空压力的稳定,对于终点碳、氧含量的精准控制更为关键。
图1 2.7 Pa 压力下冶炼温度对碳-氧平衡溶度积的影响
Fig.1 Effect of smelting temperature on carbon oxygen equilibrium solubility product under 2.7 Pa
图2 1 582 ℃下真空压力对碳-氧平衡溶度积的影响
Fig.2 Effect of vacuum pressure on carbon oxygen equilibrium solubility product at 1 582 ℃
表3 在1 582 °C、2.7 Pa 的条件下不同[C]含量对应的平衡[O]含量
Tab.3 Equilibrium [O]content corresponding to different [C]content at 1 582 °C and 2.7 Pa
[C]含量/% 0.01 0.02 0.03 0.04 0.05 0.06 0.07 0.08 0.09 0.10平衡[O]含量(×10-4%) 3.73 1.87 1.24 0.93 0.75 0.62 0.53 0.47 0.41 0.37
在真空感应熔炼脱氮方面,镍基合金熔体中氮的溶解度与氮气(N2)分压服从Sievert 定律,脱氮反应可以表示为式(5):
根据文献[17],脱氮反应的标准反应自由能ΔGθ(J/mol)为式(6),在冶炼温度T 和炉内压力p 下,反应吉布斯自由能ΔG(J/mol)可以表示为式(7)。
式中,pN2 为炉内N2 气体的分压,Pa;fN 为N 的活度系数。
根据Wagner 模型,利用表4[17]中1 600 ℃下镍液中元素对N 的活度相互作用系数,计算得到活度系数fN,1 873 K 为1.754 9×10-3,根据特定温度T 下N 的活度系数fN,T 与1 600 ℃下活度系数fN,1 873K 之间的对应关系,结合公式(7)可计算得到特定温度和压力下合金液中氮的平衡溶解度为式(8)[15],由此可以计算出1、2、3、4 Pa 不同真空压力下合金液中氮的平衡溶解度随温度的变化,如图3 所示。由图3 可知,随着冶炼真空度的提高,C-HRA-3 镍基合金液中平衡氮含量降低,冶炼温度1 582 ℃时,在1~4 Pa范围内真空压力每降低1 Pa,平衡氮含量降低8~12 ×10-4%;C-HRA-3 镍基合金液中平衡氮含量随着冶炼温度的升高而逐渐降低,且降幅随温度升高呈下降趋势。在本实验中1 582 ℃和2.7 Pa 的条件下平衡氮含量为23.66×10-4%。
图3 不同真空度下氮平衡溶解度随温度变化
Fig.3 Changes of nitrogen equilibrium solubility with temperature under different vacuum degrees
表4 1 600 °C镍液中元素j对N的活度相互作用系数[17]
Tab.4 Activity interaction coefficient of element j to N in liquid nickel at 1 600 °C[17]
元素j ej N 元素j ej N 元素j ej N C 0.090 W -0.023 Cr -0.10 Al 0 Mo -0.043 V -0.13 Ni 0 Mn -0.051 Ti -0.21 Co -0.005 Ta -0.067 Zr -0.23 Fe -0.021 Nb -0.072 Ce -0.55
本实验选用预制镁质坩埚,其主要成分为氧化镁(MgO),熔点为2 800 ℃,该类坩埚在氧化气氛中的最高使用温度可达1 800 ℃,在真空条件下可使用到1 750 ℃,并且对碱性炉渣具有良好的抗渣性。但是,在高温和高真空的条件下,MgO 坩埚易发生分解。根据文献[18]可知,在真空冶炼条件下,反应产物中的Mg 会以蒸气状态从合金液中逸出,随后在炉壁的冷凝面上以氧化物的形成沉积。MgO 坩埚的分解反应可表示为式(9),该反应的标准吉布斯自由能与温度之间的关系如式(10)所示[19],在特定温度和真空压力下反应的吉布斯自由能可表示为式(11),由式(10)和式(11)可以看出,MgO 坩埚的分解反应为吸热反应,即温度越高,反应的吉布斯自由能数值越低,MgO 坩埚越容易发生分解。
式中,pMg 为炉内Mg 蒸气的分压,Pa。
此处同样假设Mg 蒸汽的分压pMg 与炉内真空压力相等。带入2.1 节中对活度系数f[O]的计算结果,由式(4)可以计算出在1 582 ℃的精炼温度下,当高温熔体中的氧含量低于0.35×10-4%时,MgO 坩埚开始发生分解反应向金属熔体中供氧。MgO 坩埚分解反应主要发生在合金液与坩埚的接触面上,从动力学角度分析,坩埚分解反应的限制性环节为反应产物向合金液内部的传质,因此,炉衬向合金液供氧速率可表示为式(12),根据MgO 分解反应产物摩尔质量对应关系,可计算出随冶炼时间变化合金液中镁含量增量,如式(13)所示[20]。同样地,可由镁含量增量反推出由坩埚分解引起合金液中氧含量的增加量。
式中,A 为反应界面面积(合金液表面面积),cm2;V为合金液体积,cm3;k炉衬为[O]在炉衬处的传质系数,cm/s;t 为反应时间,s。
为了掌握C-HRA-3 镍基耐热合金真空感应熔炼脱氧脱氮反应的动力学规律,利用真空感应熔炼C-HRA-3 合金实验,在精炼期取5 次过程样品,5 次样品重量及坩埚内剩余合金液重量和体积等参数见表5,此处根据C-HRA-3 合金成分借助JMatPro计算软件获得1 582 ℃合金液的密度为7.4×103 kg/m3。分析过程样品中的[O][N][C][Mg]等元素含量,氮、氧含量分析检测结果如图4 所示,精炼期合金液中碳含量从0 min 过程样品的0.017 0%降低到120 min样品的0.007 9%,而5 个过程样品中的镁含量均低于0.000 5%。
图4 C-HRA-3 合金真空感应熔炼精炼期氮-氧含量的变化
Fig.4 Changes of nitrogen and oxygen content during vacuum induction melting refining of C-HRA-3 alloy
表5 各取样阶段C-HRA-3合金液参数变化
Tab.5 Parameters changes of liquid C-HRA-3 alloy in different sampling stages
取样阶段 取样重量(m)/g 合金液重量(M)/g 合金液体积(V)/cm3 1#(0 min) 193.0 19 863.3 2 683.2 2#(30 min) 59.0 19 804.3 2 676.3 3#(60 min) 85.8 19 718.5 2 664.7 4#(90 min) 137.4 19 581.1 2 646.1 5#(120 min) 78.6 19 502.5 2 635.5
从图4 结果看出,随着精炼时间的延长,高温合金液中碳氧反应及脱氮反应进行程度加深,碳、氮、氧含量逐渐降低,但是在精炼时间为120 min时,氧含量出现二次升高现象且增幅较大。此处考虑是长时间高温精炼合金液中的氧含量低于引起MgO 坩埚分解的平衡氧含量,在精炼期90 min 至120 min的某一时刻开始,MgO 坩埚分解反应供氧速率大于真空碳脱氧反应速率,合金液中氧含量再次升高。精炼120 min 时,样品中镁含量没有增高,表明反应产物金属镁以气态单质形式被真空系统抽离,这也是合金液中氧含量快速升高的主要影响因素,同时也导致研究中无法根据样品中镁含量的变化,计算由MgO 坩埚分解引起的氧含量增量。此外,0 min 的1#过程样品氧含量检测结果为0.002 8%,低于30 min的2#过程样品氧含量,并与精炼初期氧含量下降变化趋势不符,在后续动力学分析中将不予考虑。从氮含量的变化情况可知,在精炼期的前30 min,合金液中脱氮反应快速进行,氮含量迅速下降,脱氮率达到了近55%。而随着反应的进行,脱氮反应速率逐渐降低,精炼60 min 后反应趋于平衡,合金液中的氮含量接近甚至低于热力学计算C-HRA-3 合金在实验条件下的平衡氮溶解度。精炼后期,由于合金液中反应物[N]含量降低引起脱氮反应速率降低,在没有动力学搅拌以及碳氧反应产物气泡上浮影响的条件下,脱氮反应后期降低氮含量较为困难。
在真空感应熔炼过程中,碳脱氧反应的产物CO 气泡在合金液内主要受到3 种压强的共同作用,包括熔池上方气相压强p1,CO 气泡所处位置的液柱静压强p2 和气泡附加压力p附,即CO 气泡所承受的压强可表示为式(14)。
在合金液内部的任一位置,形成相同形状尺寸的CO 气泡所受到的熔池上方气相压强与克服外力做功的附加压强均相同,而液柱静压强p2=ρh,合金液密度相同的条件下,气泡形成处到液面的垂直距离h 值越大,CO 气泡承受的压强越高。因此真空下,合金液中以均质形核的方式反应生成CO 气泡,最易在合金液表面(气液界面)处发生。进而,真空感应熔炼过程中碳脱氧反应发生包括以下7 个步骤(图5):
图5 真空感应熔炼碳脱氧反应过程示意图
Fig.5 Schematic diagram of carbon deoxidation reaction process in vacuum induction melting
(1)[C]从合金液内部向液相边界层传质。
(2)[C]在液相边界层向液/气界面扩散。
(3)[O]从合金液内部向液相边界层传质。
(4)[O]在液相边界层向液/气界面扩散。
(5)[C]与[O]在界面处发生化学反应。
(6)CO 在气相边界层中扩散。
(7)CO 离开气相边界层向气相内部传质。
整个冶炼过程中,碳脱氧反应的速度由最慢步骤所决定,由于冶炼时真空感应炉内强烈的电磁搅拌作用、对流以及真空系统的抽气作用,使得液相熔池内部[C][O]向边界层的传质及反应产物CO 在气相内部的传质速度很快,因而步骤(1)(3)(7)不可能成为真空碳脱氧反应的限制性环节。此外,由于气体的扩散系数比液体的扩散系数约大5 个数量级,且在真空冶炼环境下,随着CO 在气相中被快速抽离,任一瞬时,其在气相边界层的浓度均处于较低水平,故步骤(6)的扩散速率也很大,即不可能成为限制性环节。步骤(5)的界面化学反应在冶炼温度下的速率很快,在反应界面处很容易达到局部平衡,所以步骤(5)也不可能成为限制性环节。在合金液表面发生的碳氧反应限制环节为[C]和[O]通过液相边界层的传质。对比已有的镍基体系下[C]和[O]的扩散系数[21],1 575 ℃下[C]的扩散系数为D[C],1 575 ℃=4.8×10-4 cm2/s;1 511 ℃下[O]的扩散系数为D[O],1 511 ℃=1.26×10-4 cm2/s。可以看出,在冶炼温度范围内[O]的扩散系数与[C]的扩散系数在同一数量级,且[O]的扩散系数略低,考虑到本研究中真空感应熔炼C-HRA-3 合金底部原料配碳量为0.10%,合金液中初始氧含量主要由加入合金料中的氧组成,低于0.01%。因此,本研究以[O]在液相边界层中的传质为限制性环节,分析真空碳脱氧反应的动力学过程。真空碳脱氧反应过程速率可认为近似地与氧在液相边界层的传质速率相等,可表示为式(15):
式中,A 为反应界面面积(合金液表面面积),cm2,此处A 恒为153.9 cm2(由坩埚内径φ=140 mm 计算得到);V(t)为t 时刻合金液体积,cm3;k[O]为合金液中[O]在液相边界层中的传质系数,cm/s;[%O]eq 为碳氧反应平衡时合金液中氧的质量百分数,由热力学计算获得。
对式(15)积分得到式(16):
由图4 和表5 中真空感应熔炼实验过程的数据,借助公式(16)可计算出[O]在液相边界层中的传质系数k[O]。考虑精炼0 min 时的1#样品氧含量检测结果异常,而精炼120 min 的5#样品氧含量由大量的MgO 供氧组成,故此处以2#样品氧含量为初始氧含量,即[%O]0=0.002 9,由2#、3#、4# 3 个过程样氧含量变化及坩埚内合金液体积变化进行真空碳脱氧反应的动力学计算,可得到平均传质系数k[O]=2.68×10-3 cm/s。
对于C-HRA-3 镍基耐热合金真空脱氮反应的动力学研究,同样先对反应过程进行解析,脱氮反应过程相对简单,包括以下5 个步骤(图5)。
(1)[N]从合金液内部向液相边界层传质。
(2)[N]在液相边界层向液/气界面扩散。
(3)[N]原子在界面处发生化学反应,2 个[N]结合生成1 个N2。
(4)N2 在气相边界层中扩散。
(5)N2 离开气相边界层向气相内部传质。
由于坩埚外部线圈内电流对合金液的搅拌作用及真空感应炉真空系统对炉气强大的抽离作用,使得步骤(1)(4)(5)速度很快,不会成为真空脱氮反应的限制性环节。对于高Cr 镍基合金脱氮动力学,中科院金属所的王旻等[15]的研究发现脱氮反应受界面化学反应过程控制,分析可知低Cr 含量镍基合金([%Cr]=5)是高Cr 含量镍基合金([%Cr]=20)中[N]原子活度a[N]的55 倍,高Cr 镍基合金中a[N]低,界面化学反应速率慢。特别地,C-HRA-3 耐热合金化学成分中除含Cr 约22%,还含Mo 约8.5%,其中金属Mo 也将大幅降低合金液中[N]原子活度,故步骤(3)界面化学反应为整个真空脱氮反应过程的限制性环节。然而,脱氮反应级数也受到真空冶炼条件的影响,傅杰等[22]在研究RH 炉外精炼时发现高真空度时钢液脱氮为一级反应,低真空度时钢液脱氮为二级反应,真空度居中时为混合控制。
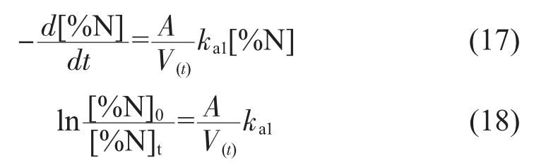
因此,根据真空感应熔炼C-HRA-3 合金精炼期氮含量随反应时间的变化情况,采用积分法获得脱氮反应的动力学反应级数。假设C-HRA-3 合金真空脱氮反应符合一级反应动力学规律,脱氮速度可表示为式(17),对式(17)积分得到式(18):
假设C-HRA-3 合金真空脱氮反应符合二级反应动力学规律,脱氮速度可表示为式(19),对式(19)积分得到式(20):
式中,ka1 为脱氮一级反应表观速率常数;ka2 为脱氮二级反应表观速率常数;[%N]为氮的质量百分数;[%N]t 和[%N]0 分别为t 时刻和0 时刻合金液中氮的质量分数。根据真空感应熔炼实验过程的数据,结合式(18)和式(20)可计算得到精炼期脱氮反应进行到不同时刻动力学计算结果,见表6。利用表6 中的数据,以[A/V(t)]·t 为横坐标,分别以ln([%N]0/[%N]t)和1/[%N]t-1/[%N]0 为纵坐标作图,并对散点数据进行线性拟合,结果如图6 所示。其中,图6(a~b)中拟合直线的斜率分别对应真空脱氮反应符合一级反应动力学规律以及符合二级反应动力学规律时的表观速率常数。从拟合结果来看,图6(b)中数据线性拟合的相关系数为0.972,而图6(a)中数据线性拟合的相关系数为0.922。因此,在1 582 ℃及2.7 Pa 的真空压力条件下,真空感应熔炼C-HRA-3 耐热合金的脱氮反应以界面化学反应为限制性环节,且反应更加符合二级反应动力学规律,反应的表观速率常数为0.733 cm/s。
图6 真空脱氮反应动力学线性数据拟合
Fig.6 Kinetic data linear fitting of vacuum denitrification reaction
表6 各阶段C-HRA-3合金脱氮反应动力学计算结果
Tab.6 Kinetic calculation results of denitrification reaction of C-HRA-3 alloy in each stage
t/min 0 30 60 90 120[A/V(t)]·t/s·cm-1 — 103.51 207.92 314.07 420.45 ln([%N]0/[%N]t)— 0.821.161.321.46 1/[%N]t-1/[%N]0—146.88 254.09 318.50 383.72
(1)由热力学计算结果,随着精炼温度升高C-HRA-3 合金的平衡碳氧积增大而氮的平衡溶解度降低,理论计算得到1 582 ℃、2.7 Pa 及含[C]量为0.01%实验条件下,平衡[O]和[N]含量分别为3.73×10-4%和23.66×10-4%。
(2)在真空感应熔炼C-HRA-3 合金的精炼初期,随着精炼时间的延长,[O]含量逐渐降低,但当精炼120 min 时,在MgO 坩埚分解供氧的影响下,[O]含量二次升高;在不考虑MgO 坩埚分解下,C-HRA-3合金真空碳脱氧反应的限制性环节为[O]在液相边界层向液/气界面扩散,计算得到平均传质系数k[O]为2.68×10-3 cm/s。
(3)随着精炼时间的延长,C-HRA-3 合金液中[N]含量逐渐降低,且降幅减小,真空脱氮反应的限制性环节为[N]原子在界面处发生化学反应,反应符合二级反应规律,表观速率常数为0.733 cm/s。
[1]刘正东,陈正宗,何西扣,等.630~700 ℃超超临界燃煤电站耐热管及其制造技术进展[J].金属学报,2020,56(4):539-548.
[2]陈正宗,刘正东,董陈,等.C-HRA-3 耐热合金850 ℃持久性能及组织特征[J].金属热处理,2020,45(1):135-139.
[3]陈正宗,刘正东,包汉生,等.C-HRA-3 耐热合金奥氏体晶粒长大动力学[J].钢铁,2017,52(7):64-67.
[4]金一标,姚钰明,李亚军,等.300kg 真空感应炉熔炼08Cr9CoMo钢的氧含量研究[J].特殊钢,2021,42(6):19-24.
[5]付建辉,刘庭耀,张健,等.GH3128 合金“VIM+ESR”和“NVIM+ESR”冶炼过程中的脱气行为及夹杂物研究[J].特殊钢,2020,41(6):15-19.
[6]马秀萍,周同金,刘东方,等.真空感应熔炼工艺对镍基高温合金氧氮含量的影响[J].铸造,2019,68(7):730-733.
[7]姚志浩,董建新,陈旭,等.GH738 高温合金长期时效过程中γ'相演变规律[J].材料热处理学报,2013,34(1):31-37.
[8]韦康,王涛,李钊,等.时效制度对一种新型镍基变形高温合金组织和性能的影响[J].材料热处理学报,2021,42(2):61-65.
[9]程鸣涛,林功文,李正邦.稀土元素对离心铸造耐热合金管件持久性能的影响[J].钢铁研究学报,1996,8(6):35-37.
[10]李晓,张麦仓,张丽娜,等.夹杂物对粉末冶金高温合金力学性能的影响[J].特殊钢,2001,22(1):25-28.
[11]吴廷宝,于兴福,满延林,等.真空感应熔炼的碳烧损及氧含量影响因素研究[J].铸造,2013,62(1):1-3.
[12]秦礼彬,郭曙强,郑红妍,等.GCr18Mo 轴承钢真空碳脱氧研究[J].上海金属,2020,42(1):60-67.
[13]牛建平,杨克努,金涛,等.真空感应熔炼超纯净镍基高温合金脱氮的研究[J].金属学报,2001,37(9):943-946.
[14]李清华,牛建平.镍基高温合金真空感应熔炼脱氮的研究[J].真空,2003,40(2):45-47.
[15]王旻,张龙,杨亚倩,等.高Cr 镍基合金脱氮反应热力学与动力学研究[J].稀有金属材料与工程,2020,49(11):3803-3808.
[16]牛建平,杨克努,孙晓峰,等.用CaO 坩埚真空感应熔炼镍基高温合金脱氧研究[J].金属学报,2002,38(3):303-308.
[17]王振东,曹孔健,何纪龙.感应炉冶炼[M].北京:化学工业出版社,2007.
[18]赵鸿燕.真空感应炉坩埚材质对镍基合金Inconel 690 氧硫含量的影响[J].特殊钢,2011,32(6):43-46.
[19]梁英教,车荫昌,刘晓霞,等.无机物热力学数据手册[M].沈阳:东北大学出版社,1993.
[20]薛正良,齐江华,高俊波,等.超低氧钢熔炼过程中炉衬与钢液的互相作用[J].武汉科技大学学报,2005,28(2):119-121.
[21]张家芸.冶金物理化学[M].北京:冶金工业出版社,2011.
[22]傅杰,唱鹤鸣,迪林,等.钢液真空脱氮动力学研究[J].钢铁,2000,35(10):24-26.
Thermodynamics and Kinetics of Deoxidation and Denitrification in Vacuum Induction Melting of C-HRA-3 Nickel-based Heat Resisting Alloy