钛基复合材料微观结构设计的研究进展

黄孝余1,2,唐 斌1,3,李金山1,3

(1.西北工业大学重庆科创中心,重庆 401135;2.重庆三航新材料技术研究院有限公司,重庆 401135;3.西北工业大学凝固技术国家重点实验室,西安 710072)

摘 要:钛基复合材料具有轻质高强的突出特点,在航空航天等关键领域应用前景巨大。经过近40 年的研究,钛基复合材料领域的研究热点由最初的连续纤维增强为主发展到目前以非均匀颗粒/晶须增强为主,但相关研究重点始终围绕着钛基复合材料的塑韧性提升这一目标。其中有效的方法之一是对钛基复合材料进行微观结构设计,以实现其强韧性的良好匹配。本文综述了钛基复合材料的几种主要的微观组织构型、相应的制备方法、力学性能以及存在的问题,对钛基复合材料的微观结构设计思路与实现方法进行了简要总结。

关键词:钛基复合材料;强韧化;微观结构设计;制备方法

钛合金作为比强度最高的金属材料,契合了航空航天领域对服役材料轻质高强的性能要求,拥有广泛的应用前景,被誉为“太空金属”[1]。在中国经济迈入“可持续发展道路”的重要背景下,未来飞行器将以绿色低碳的高动力、低污染为发展目标,对航空航天材料的轻质高强化要求不断提高。基于该前提,钛基复合材料——一种继承了钛合金高比强度优势并兼具陶瓷相高模量特点的新型轻质高强材料,与钛合金相比具有强度更高而密度相当,甚至更低的显著优势,受到了研究者们越来越多的关注[2-4]。另一方面,以军用飞机为代表的飞行器的飞行速度(马赫数)不断提高,不仅要求服役材料的比强度越高越好,同时由于飞行动力的提升增大了关键零部件的服役温度,还要求服役材料的耐高温性能(如抗高温蠕变/疲劳性能)进一步提升。以蒙皮材料为例[5],当飞机马赫数超过3 时,可选用的材料只有高温合金、先进碳-碳复合材料以及钛合金/钛基复合材料,如图1 所示。与钛合金相比,钛基复合材料具有更高的比强度,更高马赫数的应用潜力,因此航空航天领域对钛基复合材料的需求日益迫切。

图1 不同比强度的蒙皮材料在不同马赫数时的使用范围[5]
Fig.1 Available materials with different specific strength under different mach number[5]

尽管钛基复合材料在航空航天等关键领域的应用潜力巨大,但受制于增强相的掺杂对钛合金基体塑韧性的恶化,目前为止,钛基复合材料的实际应用还有一定的距离。为了突破钛基复合材料塑韧性较差的瓶颈,在过去几十年里研究者们围绕增强相选择、制备工艺优化、增强相含量优化以及微观结构设计等方面做了大量的工作[6-9],同时也取得了长足的进展。其中,微观结构设计的研究涵盖了增强相分布、尺寸与含量的优化,以及制备工艺的选择等,是现有研究中实现钛基复合材料强韧化的有效手段之一[10-15]。因此,本文以钛基复合材料的微观结构演化为主线,对微观结构设计的研究进展进行综述,同时针对目前研究中存在的问题提出个人的见解以及未来可能的研究方向。

1 连续纤维增强钛基复合材料

连续纤维增强钛基复合材料是最早见诸报道的钛基复合材料[16]。在20 世纪60 年代,研究者利用一种表面镀覆SiC 的B 纤维作为增强相,进行了长纤维增强钛基复合材料的尝试,但由于其成本高昂而中断了研究[17-18]。随后,美国的Textron 公司以碳纤维为芯材制备了名为SCS-6 的SiC 长纤维,其价格相对便宜成为真正意义上第1 种应用于钛基复合材料研究的纤维增强相[19]。在20 世纪80~90 年代,SiC 纤维增强的钛基复合材料获得了蓬勃发展,美国的NASA 与GE 公司开始尝试将其应用于航空航天领域[20]

1.1 连续纤维增强钛基复合材料的制备方法

各种连续纤维的制备工艺具有明显的共性特点,即先将长纤维按一定方式编织,然后将纤维织网与钛合金基体进行复合,常见的技术包括铺叠成型技术、等离子喷涂法、纤维涂层法、流延成型法等[21]。铺叠成型技术,首先利用轧制工艺将钛合金做成厚度为0.10~0.15 mm 的箔材,同时将连续纤维编织成单层织网;然后将钛合金箔与纤维织网交替堆叠;最后利用真空烧结或热等静压技术使堆叠的箔材致密化,制成块体材料,工艺示意图与块体材料微观组织形貌如图2 所示[21-22]。除了工艺复杂带来的成本高昂外,该技术最大的缺点是纤维容易在致密化过程中流动,造成纤维分布不均匀。当纤维在块体材料中相互接触时,接触部分不能填充进金属基体,存在的孔洞会导致材料在受力过程过早开裂。为解决这个问题,采用有机黏结剂提前将纤维织网进行固化处理,但又不可避免地引入了杂质。纤维涂层法是利用物理气相沉积(Physical vapor deposition, PVD)使钛合金基体与单纤维层复合制得复合材料薄带,随后进行致密化处理制得块体钛基复合材料。与前述工艺相比,该方法的优点有:纤维分布均匀;钛合金与纤维的界面反应较弱;复合材料中的纤维体积分数可通过钛合金沉积厚度进行调控,最高可达80 vol.%,该方法能够使连续纤维增强钛基复合材料的性能达到最优。

图2 铺叠成型技术示意图及所制备钛基复合材料的微观形貌[21-22]
Fig.2 Schematic diagram of lay-up techniques and microstructure of manufactured TMCs[21-22]

1.2 连续纤维增强钛基复合材料的结构设计

截至目前,连续纤维增强钛基复合材料的主要增强相为SiC 长纤维,其微观结构主要包括两种:纤维单向排列和各层交叉排列。SiC 纤维的抗拉强度高达3 500 MPa,弹性模量达400 GPa,远高于钛合金基体,因此纤维单向排列的结构可使钛基复合材料在纤维长度方向(纵向)的力学性能达到较高的水平,其研究较为广泛。杨延清等[23]采用纤维涂层法制备了纤维单向排列的SCS-6/Ti-10-2-3 复合材料,其纤维体积分数为45 vol.%左右,复合材料纵向的室温抗拉强度达到了1 503 MPa,与热轧态Ti-10-2-3 钛合金相比提高了近60%。杨锐等[24]的研究表明,纤维体积分数为40 vol.%的SiCf/Ti6Al4V复合材料,其纵向室温抗拉强度为1 600 MPa,700 ℃抗拉强度大于1 000 MPa,表现出优异的高温力学性能。当纤维体积分数提高到60 vol.%,700 ℃抗拉强度高达1 500 MPa。图3 是SiCf/Ti6Al4V 复合材料室温拉伸测试后的断口形貌与拉伸试样的纵剖面[24],可以看到试样断裂后基体中纤维的断裂与拔出现象,表明SiC 纤维起到了有效的增强作用。

图3 SiCf/Ti6Al4V 复合材料室温拉伸断口及纵剖面[24]
Fig.3 Fracture surface and long section of SiCf/Ti6Al4V composite after room temperature tensile testing[24]

连续长纤维增强钛基复合材料的力学性能具有极强的各向异性,加之纤维/基体界面的结合强度低于钛合金基体强度,使复合材料的横向力学性能较差[25]。赵冰等[26]利用铺叠成型技术制备了SiCf/Ti6Al4V复合材料,其横向室温抗拉强度仅为412 MPa,且随着测试温度升高,550 ℃抗拉强度降低至273 MPa。研究者通过拉伸断口的形貌分析,认为SiCf/Ti6Al4V复合材料横向拉伸断裂的本质原因是纤维与基体的结合强度不足。纤维单向排列的钛基复合材料的这种强烈的各向异性,使其仅适用于受单向载荷的服役工况。例如,用于制备钛基复合材料环件与棒件[24],如图4 所示,而对于更为复杂的服役工况,纤维单向排列的钛基复合材料应用则受到了限制。针对这个问题,刘文祎等[27]提出了将各层纤维呈一定角度交叉排列的钛基复合材料微观结构,如图5 所示。研究结果表明,当纤维铺叠角度的顺序为[0/90/0/90/0…]时,SiCf/TB8 复合材料的室温横向抗拉强度达到了963 MPa,与单向排列时的纵向室温拉伸强度(1 362 MPa)相比下降幅度较小。尽管各层交叉排列的结构牺牲了纵向强度,但其横向强度获得了提高,并且可通过铺叠角度调节连续纤维增强复合材料的力学性能,扩大其潜在的可服役范围。

图4 钛基复合材料样件[24]
Fig.4 TMCs products[24]

图5 纤维交叉排列的结构示意图[27]
Fig.5 Schematic diagram of fibers arranged crossly[27]

2 不连续晶须/颗粒增强钛基复合材料

连续纤维增强钛基复合材料强烈的各向异性特点决定了其最佳应用场景为受单向载荷或单一轴向载荷的工况,而不能用于受多向载荷的服役环境,并且由于纤维编织工艺的繁琐,使复合材料的制备成本高昂[28],钛基复合材料的增强相研究逐渐转向以不连续晶须、颗粒为主,常见的增强相包括TiB 晶须、TiC 颗粒、稀土氧化物颗粒等,其力学性能如表1[20,28]所示。在不连续增强钛基复合材料中晶须/颗粒的分布不具有方向性,因此材料不存在各向异性。但是不同于连续纤维增强钛基复合材料中,长纤维可以通过提前固定等方式有效保证纤维分布符合设计的微观组织特征,不连续增强钛基复合材料的增强颗粒/晶须在金属基体中的分布具有很强的随机性,难以避免增强相之间的相互接触而出现团聚现象。另外,复合材料的性能强化与增强相含量息息相关,颗粒/晶须的含量越高,复合材料强度的提高越明显,但同时又增加了增强相团聚的可能性,从而导致塑韧性的急剧恶化。因此,不连续晶须/颗粒增强钛基复合材料的结构设计主要围绕平衡增强相含量与分布进行,即在提高增强相含量使复合材料获得更好的强化效果的同时,优化其分布从而保证复合材料的塑韧性。

表1 纯钛及钛基复合材料中常见增强相的物理性质[20,28]
Tab.1 Physical properties of pure Ti and common reinforcements in TMCs[20,28]

Phases Melting point/℃ Density/g·cm-3 Elasticity modulus/GPa Coefficient of thermal expansion/×10-6 K-1 Ti 1 668 4.50 115 9.00 SiC 2 697 3.19 430 4.63 Carbon Fibers - 1.80 231 -TiB 2 200 4.50 425~480 8.60 CNTs ~3 379 1.70~2.00 ~1 000 -Graphene ~3 852 2.00 ~1 000 -TiC 3 160 4.99 440 6.52~7.15 TiN 3 290 3.97 420 8.30 La2O3 2 217 6.51 - 5.80~12.10 Al2O3 2 050 4.00 420 8.30 Ti5Si3 2 130 4.32 225 7.00

2.1 增强相均匀分布的不连续增强钛基复合材料

在早期不连续晶须/颗粒增强钛基复合材料的研究中,为了有效解决增强相团聚问题,研究者们致力于增强相均匀化研究。Gorsse 等[29]以TiB2、Ti 以及Al-40V 粉体为原料,通过粉末冶金的方法制备了20 vol.%TiBw/Ti6Al4V 复合材料。为了保证TiBw在基体中的均匀分布,首先借助高能球磨手段使原料粉体均匀混合,并进行热等静压烧结使粉体致密化,并发生Ti+TiB2→TiB 原位反应生成TiBw。烧结态复合材料的微观组织形貌如图6(a)所示,可以看到大部分TiBw 在钛合金基体中呈独立分布,但仍有部分TiBw 发生了团聚,这可能是由于TiB2 与Ti的反应过程中,局部区域存在多个TiB 的形核位置从而生长出团聚在一起的多条TiBw。为了进一步使TiBw 均匀化,对复合材料进行了1 300 ℃下长时间保温的均匀化处理以及1 300 ℃下的挤压处理,分别如图6(b~c)所示,均匀化效果显著。室温及300 ℃拉伸测试结果表明,经热处理与挤压处理的复合材料相比于仅受热处理的复合材料具有更好的组织均匀性,其拉伸强度与断裂应变均有明显的优势。该结果也进一步说明增强相的均匀性分布有利于复合材料的塑韧性提高。Yan 等[30]研究了增强相含量对其团聚现象的影响。以TiB2 颗粒为原料,通过烧结温度为1 250 ℃的粉末冶金方法分别制备了TiBw 含量为5 vol.%、10 vol.%、15 vol.%、20 vol.%的钛基复合材料,其微观组织形貌如图7 所示,可以看到当TiBw超过10 vol.%时,TiBw 在钛合金基体中发生了团聚。力学测试(表2)表明,晶须团聚不仅严重恶化了钛基复合材料的塑韧性,其强度也急剧下降。

表2 TiBw/Ti复合材料的力学性能[30]
Tab.2 Mechanical properties of TiBw/Ti composites[30]

Specimen Ultimate tensile strength/MPa Elongation/%Matrix alloy 1 090 1 061 3.08 5 vol.%TiBw/Ti 1 038 989 2.19 10 vol.%TiBw/Ti 1 147 -15 vol.%TiBw/Ti 741 -20 vol.%TiBw/Ti 521 -Yield strength/MPa

图6 TiBw/Ti6Al4V 复合材料的微观组织及力学性能[29]
Fig.6 Microstructure and mechanical properties of TiBw/Ti6Al4V composites[29]

图7 1 250 ℃烧结的TiBw 含量不同的TiBw/Ti 复合材料微观组织形貌[30]
Fig.7 Microstructures of TiBw/Ti composites with different TiBw contents sintering at 1 250 ℃[30]

从空间结构进行理论分析,复合材料中的增强相孤立分布时的最高体积分数可以达到50 vol.%。然而在前述研究中,TiBw 独立均匀分布的最高体积分数不超过10 vol.%,这可能是因为原位反应的本质决定了增强相在制备过程中经历了形核与生长过程,从而导致其在局部区域的分布具有很强的随机性。例如单个TiB2 颗粒可能生长出多根TiB 晶须,因此即使通过球磨等前处理过程使原料(如TiB2 颗粒)完全均匀的分布,也无法有效保证生成的TiBw不发生团聚。钛合金在高温下具有很强的化学活性,易与添加相的表面杂质反应生成脆性界面化合物而恶化复合材料的强韧性,目前的共识是优先选用原位合成法制备非连续增强钛基复合材料以获得增强相与钛合金基体间优异的界面结合。选用原位反应法制备钛基复合材料与增强相在稍高含量下发生团聚的这一矛盾,促使研究者进行了以外加法(Ex-situ method)制备钛基复合材料以解决增强相团聚问题的尝试。外加法是直接向钛合金基体中加入增强相,由于制备过程增强相基本不发生变化,可以保持最初的分布状态,因此有望实现增强相理论最高含量的完全均匀分布。Fruhauf 等[31]采用外加法,通过真空烧结、热等静压烧结以及粉末热挤压的手段制备了TiC 颗粒含量为15 vol.%的钛基复合材料,其微观组织形貌如图8 所示。可以看到,在1 375 ℃真空烧结条件下的TiC 颗粒尺寸远大于920 ℃热等静压烧结条件,如图8(a~b)所示,说明TiC 颗粒在较高的温度将发生粗化,因此也形成了较为严重的团聚。与之相比,较低温度下的热等静压烧结及粉末热挤压过程均未使TiC 发生明显的粗化,如图8(b~d)所示,但微观组织中依然存在明显的颗粒团聚。该研究结果表明,利用外加法能够解决由于增强相在制备过程中的形核与生长导致的团聚问题,但在高含量的情况下,预处理(球磨过程)难以使增强相在基体中完全分散。

图8 外加法制备的烧结态及变形态15 vol.%TiC/Ti 复合材料的微观组织形貌[31]
Fig.8 Microstructure of as-sintered and as-deformed 15 vol.%TiC/Ti composites prepared by ex-situ method[31]

Zhang等[32]选择了纳米金刚石颗粒作为增强相,先通过高能球磨对纳米颗粒进行分散处理,然后在900 ℃进行放电等离子体烧结(Spark plasma sintering,SPS)烧结,制得了纳米颗粒均匀分布的钛基复合材料,其电子显微镜(Transmission electron microscope,TEM)形貌及和选区电子衍射(Selected area electron diffraction,SAED)花样如图9 所示。值得注意的是,钛合金基体中的纳米增强相几乎全是TiC颗粒,说明纳米金刚石与Ti 发生了反应:Ti+C=TiC。换句话说,该研究以纳米金刚石为原料,通过低温快速烧结的工艺制得了纳米TiC 颗粒增强的钛基复合材料,其中TiC 颗粒的含量为2 vol.%左右,基本呈完全均匀分布。尽管未对这一工艺做更多的说明,但我们认为,金刚石具有极为优异的化学稳定性与C-C 共价键,使得C 原子不易向钛合金基体中固溶扩散,加之制备过程在较低温度下快速进行,使原位生成的纳米TiC 具有与金刚石原料相同的分布特征。该工艺结合了外加法与原位法各自的优点,一方面,选择纳米金刚石为原料使增强相获得了类似外加颗粒的分布特性,避免了烧结过程中发生的团聚;另一方面,金刚石与钛合金基体的原位反应使增强相/基体界面结合良好。

图9 纳米TiC/Ti 复合材料的TEM 及SAED 图像[32]
Fig.9 TEM and SAED images of nano TiC/Ti composites[32]

2.2 增强相非均匀分布的不连续钛基复合材料

随着对钛基复合材料的不断深入研究,愈发认识到非连续增强钛基复合材料中的增强相难以在较高含量下形成完全均匀的分布,从而导致其实际性能与期望中的性能存在着难以消除的差距,因此近些年开展了对增强相非均匀分布的研究工作,成为当前钛基复合材料微观结构设计领域的一个热点。

增强相非均匀分布,是指增强相与基体在空间分布上存在一定差异,即在复合材料中形成“富增强相”区域与“贫增强相”区域,其中增强相富集区域被称为“硬相”,对复合材料起强化作用,增强相贫化区域被称为“软相”,起到保持材料塑韧性的作用。常见的分布方式有4 种[33],如图10 所示,包括:方式A,增强相在局部呈孤立岛状分布,在这种情况下,金属基体完全连通,增强相富集区域被基体隔离开来,复合材料的微观组织呈现微观不均匀而宏观均匀的特征;方式B,增强相富集区域呈连续柱状、层状或者环状分布于基体中,对基体形成了一定程度的割裂,使其仅在一维或二维方向连通(增强相富集区域呈柱状或层状时,基体二维连通;呈环状时,基体一维连通);方式C,增强相富集区域呈连续网状结构,并将金属基体割裂成孤立岛状,其特征与方式A 完全相反,金属基体不连通;方式D,与方式C 类似,增强相富集区域也呈连续网状分布,不同的是金属基体完全连通或半连通,形成双连通的微观结构。非均匀分布的非连续增强钛基复合材料,对增强相分散程度的要求有所降低,因此其增强相添加量远高于增强相呈均匀弥散分布的钛基复合材料,这为复合材料强度的提升提供了理论基础。

图10 增强相在非连续增强金属基复合材料中常见的4 种分布特征[33]
Fig.10 Four common distribution characteristics of reinforcements in distribution reinforced TMCs[33]

Hashin 与Shtrikman[34]两位学者在20 世纪60年代提出了对金属基复合材料弹性模量的计算公式,公式(1)是硬相包围软相的情况,公式(2)是软相包围硬相的情况,认为硬相包围软相(即方式C)的微观模型下,金属基复合材料的弹性模量为理论值上限,高于软相包围硬相的情况,如图11 所示[33]。经过几十年的实验研究,该结论获得了大量学者的认可。因此就提升复合材料强度而言,非均匀分布的增强相拥有明显的优势。另外,金属基体所能够发挥的塑性决定了复合材料的塑韧性,增强相之间距离越远,位错在金属基体中的滑移越不受阻碍,基体塑性越能得以保证,因此早期的研究致力于增强相的均匀分散以提高复合材料的塑韧性。而对于增强相呈非均匀分布的金属基复合材料,由于软相的存在,局部区域的基体塑性几乎与合金相等,而增强相的不连续分布又为软相提供了连通通道,使复合材料中的软相能够协同发挥保持塑性的作用。就这一点而言,尽管非均匀金属基复合材料中的增强相在宏观上呈非均匀分布,但在微观上(增强相富集区域)依然要求增强相不发生直接的团聚。

图11 金属基复合材料理论弹性模量随增强相含量的变化[33]
Fig.11 Variation of theoretical elastic property of metal matrix composites with reinforcement contents[33]

式中,EHS-Upper、EHS-Lower 为金属基复合材料的模量上、下限,GPa;Eα、Eβ 分别为增强相及基体金属的模量,GPa;Vα 为增强相及基体金属的体积分数,vol.%。

以硬相包围软相的微观模型为基础,耿林与黄陆军教授团队[35-41]设计出非连续网状增强钛基复合材料,并做了大量的研究工作。非连续网状增强钛基复合材料的制备过程具有高度的相似性,如图12 所示[33]。首先选择尺寸较大的钛合金粉(以球形粉为主)与尺寸较小的增强相前驱体(如TiB2 粉、石墨粉等),通过长时间低能球磨处理使前驱体均匀包裹于钛合金粉体表面,形成初步的网络结构,在这个阶段控制球磨转速以避免钛合金粉体的变形;随后将混合粉体进行烧结致密化处理,同时使前驱体与Ti 反应生成非连续网状分布的增强相。黄陆军等[42]利用该方法制备了TiBw 含量分别为5 vol.%、8.5 vol.%、12 vol.%的非连续网状增强钛基复合材料,并与利用高能球磨制备的均匀分布的8.5 vol.%TiBw/Ti复合材料进行了力学性能对比,如图13 所示,非连续网状增强钛基复合材料在塑性与强度上均有明显的优势。研究者认为,这是由于网状分布的晶须在部分区域富集,能够更为有效的承担强化作用;而网络内部区域无晶须,能够充分发挥纯态的塑性,从而使复合材料保留了远高于均匀晶须增强的钛基复合材料的塑性。然而,在该工作中未考虑高能球磨过程引入的杂质元素对均匀TiBw 增强钛基复合材料的塑性所带来的的恶化作用,因此,非连续网状增强钛基复合材料在塑性方面的优势有必要进行更为深入的研究。

图12 非连续网状增强钛基复合材料的制备示意图[33]
Fig.12 Schematic diagram of discontinuous network reinforced TMCs[33]

图13 非连续网状增强与均匀增强钛基复合材料的室温拉伸曲线[42]
Fig.13 Comparison of room temperature tensile curves between discontinuous network reinforced and uniform reinforced TMCs[42]

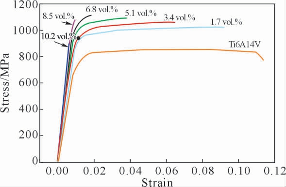
为了研究非连续网状分布增强相含量对微观形貌及力学性能的影响,黄陆军等[43]制备了不同体积分数TiBw 增强的Ti6Al4V 基复合材料。随着体积分数的提高,网络分布的TiBw 越来越密集,在TiBw 含量为3.4 vol.%时形成了团聚,且团聚现象逐渐加重,如图14 所示。力学性能表征结果显示,在未形成晶须团聚时,伴随着塑性的略微下降,复合材料的强度显著升高;晶须的团聚使复合材料的塑性急剧降低,如图15 所示。与前述8.5 vol.%TiBw/Ti非连续网状增强钛基复合材料尚保持较好的塑性相比,在该研究工作中,3.4 vol.%TiBw 即导致复合材料塑性明显降低,说明非连续网状增强钛基复合材料的塑性变化不仅仅受增强相含量控制,必然还受其他微观结构方面的因素影响。在黄陆军等[44]另一个研究报告中,讨论了增强相含量、网格大小对非连续网状增强钛基复合材料力学性能的影响。通过选用不同粒径大小的钛合金球形粉制得了网格大小分别为65、110、200 μm,TiBw 含量为2 vol.%、3.5 vol.%、5 vol.%、8.5 vol.%、12 vol.%的钛基复合材料,其力学性能如表3 所示。结果表明,当增强相含量相同时,复合材料的塑性随网格直径降低而增加。这是由于网格越小,增强相贫瘠区面积占比越小,增强相富集区占比越大;在含量相同的情况下,增强相分布的空间距离越远越不容易团聚,钛基复合材料的塑性更高。

表3 具有不同网格尺寸的非连续网状TiBw增强Ti6Al4V基复合材料的力学性能[44]
Tab.3 Mechanical properties of discontinuous network TiBw/Ti6Al4V composites with different network size[44]

Samples TiBw content/vol.%Elongation/%Ti6Al4V 0 - 855 11.3 V2D200 2.0 200 1 021 9.2 V3D200 3.5 200 1 035 6.5 V5D200 5.0 200 1 090 3.6 V5D110 5.0 110 1 060 5.1 V8D110 8.5 110 1 288 2.6 V8D65 8.5 65 1 207 4.6 V12D65 12.0 65 1 108 0.9 Network size/μm Ultimate tensile strength/MPa

图14 非连续网状TiBw/Ti6Al4V 复合材料的微观组织形貌[43]
Fig.14 Microstructure of discontinuous network TiBw/Ti6Al4V composites[43]

图15 不同体积分数非连续网状TiBw 增强钛基复合材料的室温拉伸曲线[43]
Fig.15 Room tensile curves of discontinuous network TiBw reinforced TMCs with different content[43]

Jiao 等[45]在非连续网状增强钛基复合材料的基础上,制备了双相(TiBw+Ti5Si3p)增强的钛基复合材料,其中TiBw 呈非连续网状分布,而Ti5Si3p 尺寸较小且基本均匀的分布于基体中,形成了增强相量两级分布的微观结构。图16 为不同含量的(Ti5Si3p+TiBw)/Ti6Al4V 复合材料力学性能测试结果,可以看到(4.0 vol.%Ti5Si3p+3.4 vol.%TiBw)/Ti6Al4V 的断裂应变达到了5%左右,基本与3.4 vol.%TiBw/Ti6Al4V 复合材料[43]相当。该结果说明,在非连续网状增强钛基复合材料的网格内部添加小尺寸增强相能够进一步提高其强度,同时不会对复合材料的塑性产生明显恶化。受此工作启发,黄孝余等[46-47]利用Ti3SiC2 陶瓷颗粒为前驱体制备了(Ti5Si3p+TiCp)/Ti6Al4V 复合材料,通过低能球磨手段使微米TiCp 呈非连续网状分布,通过固溶时效热处理手段使纳米Ti5Si3p 呈均匀弥散分布,在增强颗粒总含量为9.8 vol.%时复合材料具有较为优异的强度与塑性,如图17 所示(区域III 代表该工作所制备钛基复合材料)。

图16 具有不同(Ti5Si3p+TiBw)含量的非连续网状增强钛基复合材料的拉伸曲线[45]
Fig.16 Tensile curves of discontinuous network(Ti5Si3p+TiBw)reinforced TMCs with different content[45]

图17 9.8 vol.%(Ti5Si3+TiC)/Ti6Al4V复合材料的室温压缩性能与现有研究的比较[47]
Fig.17 Comparison of room compressive properties between 9.8 vol.%(Ti5Si3+TiC)/Ti6Al4V and existing research[47]

增材制造作为一种新的材料制备手段受到了极大关注,不断有学者尝试利用该方法制备钛基复合材料。金属材料的增材制造过程与熔炼法比较类似,利用电子束、激光等高能热源将金属粉体/丝材熔融并逐层铺叠,通过计算机优化/铺叠的策略可实现材料的近净成型。在钛基复合材料领域,该方法通常用于实现增强相的均匀分布。王祥等[48]以表面涂覆稀土氧化的Ti6Al4V 丝材为原料,选用激光熔覆技术制备了稀土氧化颗粒增强的钛基复合材料。通过熔融过程的熔池搅拌使稀土氧化在基体中均匀分布,并借助稀土氧化的异质形核能力实现了钛合金基体的等轴化与细晶化,大幅度提高了材料的力学性能。增材制造过程的另一个特点是冷却速度较高,可以使基体合金的晶粒生长受到一定抑制,从而使制备的材料保留凝固过程中一些特定的微观组织形态。近期,Pan 等[49]利用该特性制备了非连续网状纳米TiBw 增强钛基复合材料,其微观结构形成如图18所示。在高温作用下钛合金粉末熔化形成局部熔池,此时B 元素存在于液相中,如图18 中①所示;随着温度快速降低至固液两相区,熔池中形成初生β-Ti相以及纳米TiBw,如②和③所示;随着温度继续降低至单相β 区,β-Ti 相生长为近等轴状,而纳米TiBw 分布于β-Ti 晶界;最后β-Ti 转变为α-Ti+β-Ti,稍有粗化的纳米TiBw 晶须以非连续网状形式分布。增材制造过程的快速降温往往使钛基复合材料的基体具有固溶+时效态的微观组织特征,同时与烧结或熔炼方法制备的复合材料相比,基体组织与增强相的尺寸均有明显的降低,力学性能显著增强。因此,利用增材制造制备钛基复合材料,并结合该过程中基体微观组织的演变特征对增强相的微观组织结构进行必要的优化设计,是未来值得探索的研究方向之一。

图18 增材制造工艺制备非连续网状增强钛基复合材料的示意图[49]
Fig.18 Schematic diagram of discontinuous network reinforced TMCs prepared by additive manufacturing process[49]

3 结语

钛合金作为一种主要服役于关键领域的高比强度金属材料,其塑韧性指标通常要求较为严格,这直接关系到飞行器等的服役安全。然而,服役于中高温环境的钛合金通常为α 或近α 型,晶格类型为密排六方,其塑韧性较差。加入增强相有降低基体塑韧性的倾向,因此钛基复合材料的塑韧性好坏是其应用价值的关键指标。从钛基复合材料的发展来看,无论是连续纤维增强钛基复合材料中致力于提高纤维/基体界面结合强度、减少脆性界面化合物,还是非连续晶须/颗粒增强钛基复合材料中致力于平衡增强相体积分数/增强相团聚,其重要目的之一均是提高复合材料的塑韧性。如何通过微观结构设计使钛基复合材料的基体塑性得以最大程度的保留,依然是后续研究值得考虑的问题。

参考文献:

[1]赵永庆,葛鹏,辛社伟.近五年钛合金材料研发进展[J].中国材料进展,2020,39(7-8):527-534.

[2]JIAO Y,HUANG L J,GENG L.Progress on discontinuously reinforced titanium matrix composites[J].Journal of Alloys and Compounds,2018,767:1196-1215.

[3]WANG X, WANG L, LUO L S, et al.High temperature deformation behavior of melt hydrogenated(TiB+TiC)/Ti-6Al-4V composites[J].Materials&Design,2017,121:335-344.

[4]肖代红,黄伯云.原位合成钛基复合材料的最新进展[J].粉末冶金技术,2008,26(3):217-223,229.

[5]宋卫东,王成,毛小南著.颗粒增强钛基复合材料——加工制备、性能与表征[M].北京:科学出版社,2017.

[6]MA F C, LU S Y, LIU P, et al.Microstructure and mechanical properties variation of TiB/Ti matrix composite by thermo-mechanical processing in beta phase field[J].Journal of Alloys and Compounds,2017,695:1515-1522.

[7]MEREIB D, SEU U C C, ZAKHOUR M, et al.Fabrication of biomimetic titanium laminated material using flakes powder metallurgy[J].Journal of Materials Science,2018,53:7857-7868.

[8]AVWEROSUOGHENE M O,SENZENI S L,SAMUEL R O,et al.A review of spark plasma sintering of carbon nanotubes reinforced titanium-based nanocomposites:fabrication,densification,and mechanical properties[J].JOM,2019,71(2):567-584.

[9]屠涛,田军,李积珍,等.纯钛表面梯度纳米结构的微观组织研究[J].铸造技术,2022,43(2):120-122.

[10]黄陆军,耿林.非连续增强钛基复合材料研究进展[J].航空材料学报,2014,34(4):126-138.

[11]HUANG L Q,WANG L H,MA Q,et al.High tensile-strength and ductile titanium matrix composites strengthened by TiB nanowires[J].Scripta Materialia,2017,141:133-137.

[12]YANG L K, SHEN P, GUO R F, et al.A novel strategy for fabricating biomimetic gradient metal-ceramic composites by dynamic freeze casting and pressure infiltration[J].Scripta Materialia,2019,167:101-104.

[13]LU H Y, ZHANG D L, GABBITAS B, et al.Synthesis of a TiBw/Ti6Al4V composite by powder compact extrusion using a blended powder mixture[J].Journal of Alloys and Compounds,2014,606:262-268.

[14]LI A, MA S, YANG, Y J, et al.Microstructure and mechanical properties of Y2O3 reinforced Ti6Al4V composites fabricated by spark plasma sintering[J].Journal of Alloys and Compounds,2018,768:49-56.

[15]MU X N, CAI H N, ZHANG, H M, et al.Size effect of flake Ti powders on the mechanical properties in graphene nanoflakes/Ti fabricated by flake powder metallurgy[J].Composites Part A,2019,123:86-96.

[16]DEVE H E.Effect of fiber spatial arrangement on the transversestrength of titanium matrix composites[J].Metallurgical and Materials Transactions A,1999,30:2513-2522.

[17]METCALFE A G.Interaction and fracture of titanium-boron composites[J].Journal of Composite Materials,1967,1(4):356-365.

[18]SMITH P R,FROES F H.Developments in titanium metal matrix composites[J].JOM,1984,36(3):19-26.

[19]SMITH P R,GAMBONE M L,WILLIAMS D S,et al.Heat treatment effects on SiC Fiber[J].Journal of Materials Science, 1998,33(24):5855-5872.

[20]HAYAT M D,SINGH H,HE Z,et al.Titanium metal matrix composites:An overview[J].Composites Part A:Applied Science and Manufacturing,2019,121:418-438.

[21]袁武华,吉喆,张召春,等.钛基复合材料及其制备技术研究进展[J].材料导报,2005,19(4):54-57.

[22]赵永庆,周廉,VASSEL A,等.SiC 长纤维增强钛合金基复合材料的界面研究[J].稀有金属材料与工程,2004(4):359-362.

[23]杨延清,朱艳,陈彦,等.SiC 纤维增强Ti 基复合材料的制备及性能[J].稀有金属材料与工程,2002,31(3):201-204.

[24]杨锐,石南林,王玉敏,等.SiC 纤维增强钛基复合材料研究进展[J].钛工业进展,2005,22(5):32-36.

[25]李建康,杨延清,罗贤,等.SiC 纤维增强钛基复合材料的横向力学性能[J].稀有金属材料与工程,2009,38(3):426-430.

[26]赵冰,姜波,高志勇,等.连续SiC 纤维增强钛基复合材料横向强度分析[J].稀有金属,2013,37(3):372-377.

[27]刘文祎,侯红亮,曲海涛,等.SiC 纤维增强TB8 复合材料层合板力学性能研究[J].稀有金属,2020,44(7):722-728.

[28]TJONG S C, MAI Y W.Processing-structure-property aspects of particulate-and whisker-reinforced titanium matrix composites[J].Composites Science and Technology,2008,68(3-4):583-601.

[29]GORSSE S, MIRACLE D B.Mechanical properties of Ti-6Al-4V/TiB composites with randomly oriented and aligned TiB reinforcements[J].Acta Materialia,2003,51:2427-2442.

[30]YAN Z Q,CHEN F,CAI Y X,et al.Microstructure and mechanical properties of in-situ synthesized TiB whiskers reinforced titanium matrix composites by high-velocity compaction[J].Powder Technology,2014,267:309-314.

[31]FRUHAUF J B, ROGER J, DEZELLUS O, et al.Microstructural and mechanical comparison of Ti+15%TiCp composites prepared by free sintering, HIP and extrusion[J].Materials Science and Engineering:A,2012,554:22-32.

[32]ZHANG F M, LIU S L, ZHAO P P, et al.Titanium/nanodiamond nanocomposites: Effect of nanodiamond on microstructure and mechanical properties of titanium[J].Materials&Design,2017,131:144-155.

[33]HUANG L J, GENG L, PENG X H.Microstructurally inhomogeneous composites: Is a homogeneous reinforcement distribution optimal?[J].Progress in Materials Science,2015,71:93-168.

[34]HASHIN Z,SHTRIKMAN S.A variational approach to the theory of the elastic behaviour of multiphase materials[J].Journal of the Mechanics and Physics of Solids,1963,11(2):127-140.

[35]AN Q,HUANG L J,JIANG S,et al.Two-scale TiB/Ti64 composite coating fabricated by two-step process[J].Journal of Alloys and Compounds,2018,755:29-40.

[36]LIU X B, HUANG L J, KAVEENDRAN B, et al.Tensile and bending behaviors and characteristics of laminated Ti-(TiBw/Ti)composites with different interface status[J].Composites Part B,2017,108:377-385.

[37]JIAO Y,HUANG L J,WEI S L,et al.Constructing two-scale network microstructure with nano-Ti5Si3 for superhigh creep resistance[J].Journal of Materials Science & Technology, 2019,35:1532-1542.

[38]HUANG L J,LU C J,YUAN B,et al.Comparative study on superplastic tensile behaviors of the as-extruded Ti6Al4V alloys and TiBw/Ti6Al4V composites with tailored architecture[J].Materials&Design,2016,93:81-90.

[39]WANG B,HUANG L J,GENG L.Effects of heat treatments on the microstructure and mechanical properties of as-extruded TiBw/Ti6Al4V composites[J].Materials Science and Engineering:A,2012,558:663-667.

[40]CUI X P,DING H,ZHANG Y Y,et al.Fabrication,microstructure characterization and fracture behavior of a unique micro-laminated TiB-TiAl composites[J].Journal of Alloys and Compounds,2019,775:1057-1067.

[41]ZHANG R,WANG D J,HUANG L J,et al.Deformation behaviors and microstructure evolution of TiBw/TA15 composite with novel network architecture[J].Journal of Alloys and Compounds, 2017,722:970-980.

[42]HUANG L J, WANG S, DONG Y S, et al.Tailoring a novel network reinforcement architecture exploiting superior tensile properties of in situ TiBw/Ti composites[J].Materials Science and Engineering:A,2012,545:187-193.

[43]HUANG L J,GENG L,WANG B,et al.Effects of volume fraction on the microstructure and tensile properties of in situ TiBw/Ti6Al4V composites with novel network microstructure[J].Materials&Design,2013,45:532-538.

[44]HUANG L J, GENG L, PENG H X, et al.Room temperature tensile fracture characteristics of in situ TiBw/Ti6Al4V composites with a quasi-continuous network architecture[J].Scripta Materialia,2011,64:844-847.

[45]JIAO Y,HUANG L J,WANG S,et al.Effects of first-scale TiBw on secondary-scale Ti5Si3 characteristics and mechanical properties of in-situ(Ti5Si3+TiBw)/Ti6Al4V composites[J].Journal of Alloys and Compounds,2017,704:269-281.

[46]HUANG X Y, GAO Y M, WANG Z P, et al.Microstructure, mechanical properties and strengthening mechanisms of in-situ prepared (Ti5Si3+TiC0.67)/TC4 composites [J].Journal of Alloys and Compounds,2019,792:907-917.

[47]HUANG X Y,GAO Y M,YI Y Y,et al.Microstructure evolution mechanisms and strength improvement of (6.5 vol% TiC+3.3 vol% Ti5Si3)/Ti6Al4V composites via heat treatments[J].Materials Science and Engineering:A,2021,805:140581.

[48]WANG X, ZHANG L J, NING J, et al.Hierarchical grain refinement during the laser additive manufacturing of Ti-6Al-4V alloys by the addition of micron-sized refractory particles[J].Additive Manufacturing,2021,45:102045.

[49]PAN D, LI S F, LIU L, et al.Enhanced strength and ductility of nano-TiBw-reinforced titanium matrix composites fabricated by electron beam powder bed fusion using[J].Additive Manufacturing,2022,50:102519.

Research Progress on the Microstructure Design of Titanium Matrix Composites

HUANG Xiaoyu1,2,TANG Bin1,3,LI Jinshan1,3
(1.Innovation Center NPU Chongqing, Chongqing 401135, China; 2.Sanhang Advanced Materials Research Institute Co.,Ltd.,Chongqing 401135,China;3.State Key Laboratory of Solidification Processing, Northwestern Polytechnical University,Xi'an 710072,China)

Abstract:With the prominent advantages of light and high strength, the titanium matrix composites (TMCs) processes a great application potential in the key areas, such as the aerospace field.After about 40 years of researches, the research focus has been developed from continuous long fibers reinforced TMCs into discontinuous reinforced titanium matrix composites (DRTMCs).However, these works always centered on improving the ductility and toughness of TMCs.One of effective method is microstructure design, which can achieve the good combination between strength, ductility and toughness of TMCs.This paper focuses on the reviews for the microstructure configurations, the corresponding preparation methods, mechanical properties and the inadequate of TMCs, having summarized the thoughts and implementation methods of microstructure design.

Key words:titanium matrix composites; strengthening and toughening; microstructure design; preparation methods

中图分类号:TG146.2+3

文献标识码:A

文章编号:1000-8365(2022)07-0473-11

DOI:10.16410/j.issn1000-8365.2022.07.001

收稿日期:2022-06-23

基金项目:国家重点研发计划(2021YFB3702603);凝固技术国家重点实验室自主课题(2022-TS-06)

作者简介:黄孝余(1994—),博士,助理研究员.研究方向:钛基复合材料的微观组织及力学性能设计等研究.电话:13572933280,Email:npu_hxy@nwpu.edu.cn

通讯作者:李金山(1966—),博士,教授.研究方向:先进金属结构材料及其精确热成形技术研究.电话:02988460294,Email:ljsh@nwpu.edu.cn